设函数厂(x)=(ex一1)(e2x一2)…(enx-n),其中n为正整数,则.f'(0)=( )A.(一1)n-1(n一1)! B.(一1)...

作者: tihaiku 人气: - 评论: 0
问题 设函数厂(x)=(ex一1)(e2x一2)…(enx-n),其中n为正整数,则.f'(0)=( )
选项 A.(一1)n-1(n一1)! B.(一1)n(n一1)! C.(-1)”1! D.(-1)7h 1
答案 A
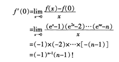
解析 根据导数的定义 因此正确选项是A。

猜你喜欢

发表评论
更多 网友评论0 条评论)
暂无评论

Copyright © 2012-2014 恰考网 Inc. 保留所有权利。 Powered by tikuer.com

页面耗时0.0211秒, 内存占用1.03 MB, Cache:redis,访问数据库13次