已知向量口=(2,1),b=(X,Y)。 (1)若X∈{-1,0,1,2),Y∈{-1,0,1),求向量a//b的概率; (2)若X∈[-1,2],Y...

作者: tihaiku 人气: - 评论: 0
问题 已知向量口=(2,1),b=(X,Y)。 (1)若X∈{-1,0,1,2),Y∈{-1,0,1),求向量a//b的概率; (2)若X∈[-1,2],Y∈[-1,1],求向量a,b的夹角是钝角的概率。
选项
答案
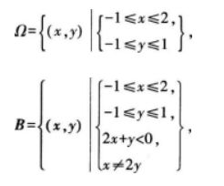
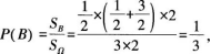
解析 (1)设“a//b”为事件A,由a≠b,得x=2y。基本事件空间设为Ω,包含的基本事件共种,当x=0,y=0或x=2,y=1时,满足a//b,即A中包含两个基本事件,故P(A)=2/12=1/6,即向量a∥b的概率为1/6。 (2)设“a,b的夹角是钝角”为事件B,由口,b的夹角是钝角,可得a·b<0,即2x+y<0,且x≠2y。基本事件空间为 作事件Ω,B表示的不等式区域,如下: 可得 即 a,b的夹角是钝角的概率为1/3。

相关内容:向量,概率

猜你喜欢

发表评论
更多 网友评论0 条评论)
暂无评论

Copyright © 2012-2014 恰考网 Inc. 保留所有权利。 Powered by tikuer.com

页面耗时0.0293秒, 内存占用1.04 MB, Cache:redis,访问数据库18次