有5个编号为1、2、3、4,5的红球和5个编号为1、2、3、4,5的黑球,从这10个球中取出4个,则取出的球的编号互不相同的概率为( )。A、5/21 ...

作者: tihaiku 人气: - 评论: 0
问题 有5个编号为1、2、3、4,5的红球和5个编号为1、2、3、4,5的黑球,从这10个球中取出4个,则取出的球的编号互不相同的概率为( )。
选项 A、5/21 B、2/7 C、1/3 D、8/21
答案 D
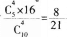
解析 把从l0个不同的球中取出4个球的组合看成基本事件,总方法数为取出的4个球的编号互不相同的方法数,分两步:先确定选哪4个编号,确方法:再确定各编号球的颜色的方法有2x2x2x2=16种.即取出的4个球的编号互不相同的基本事件数为 因此.取出的4个球的编号互不相同的概率为故选D,

猜你喜欢

发表评论
更多 网友评论0 条评论)
暂无评论

Copyright © 2012-2014 恰考网 Inc. 保留所有权利。 Powered by tikuer.com

页面耗时0.0349秒, 内存占用1.04 MB, Cache:redis,访问数据库17次