请简述如何估算e的近似值,使其误差不超过10。。

作者: tihaiku 人气: - 评论: 0
问题 请简述如何估算e的近似值,使其误差不超过10。。
选项
答案
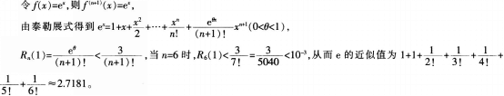
解析 利用泰勒公式。

猜你喜欢

发表评论
更多 网友评论0 条评论)
暂无评论

Copyright © 2012-2014 恰考网 Inc. 保留所有权利。 Powered by tikuer.com

页面耗时0.0566秒, 内存占用1.01 MB, Cache:redis,访问数据库19次