文具店出售大、中、小三种规格的笔记本,大号笔记本单价3元,中号笔记本单价1.5元, 小号笔记本单价1元。蔡老师用120元购买了 55个笔记本,其中买中号笔...

作者: rantiku 人气: - 评论: 0
问题 文具店出售大、中、小三种规格的笔记本,大号笔记本单价3元,中号笔记本单价1.5元, 小号笔记本单价1元。蔡老师用120元购买了 55个笔记本,其中买中号笔记本的钱与买 小号笔记本的钱相同。那么每种笔记本各买了多少本?( ) A.大号笔记本15个,中号笔记本10个,小号笔记本30个 B.大号笔记本12个,中号笔记本13个,小号笔记本30个 C.大号笔记本30个,中号笔记本10个,小号笔记本15个 D.大号笔记本30个,中号笔记本13个,小号笔记本12个
选项
答案 C
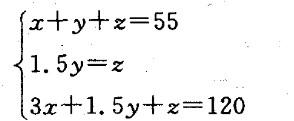
解析 设大、中、小三种笔记本的数章分别为:x、y、z,根据题意可列 解得:x = 30, :y=10, z=15。即共买了大号笔记本30个,中号笔记本10个,小号笔记本15 个。答案为C。

猜你喜欢

发表评论
更多 网友评论0 条评论)
暂无评论

访问排行

Copyright © 2012-2014 恰考网 Inc. 保留所有权利。 Powered by tikuer.com

页面耗时0.0308秒, 内存占用1.03 MB, Cache:redis,访问数据库18次