在一次移动平均数法中,被称为移动期数的字母表示是()。A:mB:FtC:εD:i

作者: rantiku 人气: - 评论: 0
问题 在一次移动平均数法中,被称为移动期数的字母表示是()。
选项 A:m B:Ft C:ε D:i
答案 A
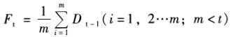
解析 一次移动平均数法是用过去m个周期实际销售量的算术平均值作为下期的预测销售量,用公式表示为: 式中,Ft为第t期的预测销售量;Dt-i为第t-i期的实际销售量;m为移动平均所取实际销售量的期数,简称为移动期数。

猜你喜欢

发表评论
更多 网友评论0 条评论)
暂无评论

访问排行

Copyright © 2012-2014 恰考网 Inc. 保留所有权利。 Powered by tikuer.com

页面耗时0.0656秒, 内存占用1.03 MB, Cache:redis,访问数据库18次