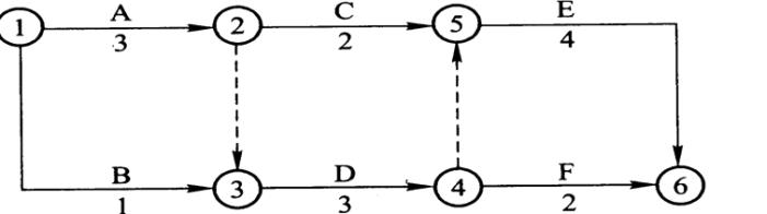
某市政工程网络计划图如下(单位为月),该工程的关键路线是( )。 A.①→②→⑤→⑥ B.①→②→③→④→⑤→⑥ C.①→③→④→⑥ D.①...

作者: tihaiku 人气: - 评论: 0
问题 某市政工程网络计划图如下(单位为月),该工程的关键路线是( )。
选项 A.①→②→⑤→⑥ B.①→②→③→④→⑤→⑥ C.①→③→④→⑥ D.①→③→④→⑤→⑥
答案 B
解析 工期最长的线路为关键线路。

相关内容:市政工程,网络,计划,如下,单位,工程,关键,路线

猜你喜欢

发表评论
更多 网友评论0 条评论)
暂无评论

Copyright © 2012-2014 恰考网 Inc. 保留所有权利。 Powered by tikuer.com

页面耗时0.0387秒, 内存占用1.05 MB, Cache:redis,访问数据库19次