已知某省某市上半年招收各类职业人员资料如下表所示。 男性 女性 报考人数 录用率(%) ...

作者: tihaiku 人气: - 评论: 0
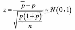
问题 已知某省某市上半年招收各类职业人员资料如下表所示。 男性 女性 报考人数 录用率(%) 报考人数 录用率(%) 技工 300 35 150 40 教师 200 25 150 30 医生 100 8 200 10 合计 600 —— 500 —— 根据上述资料,从下列各题备选答案中选出正确答案。 如果已知全省男性在这三个职业中的录用比率,现在要检验该市的男性录用比率与全省的男性录用比率是否有显著差异,则应该用的统计量为()。
选项
答案 A
解析 题中属于大样本条件下总体成数的假设检验,因此采用的检验统计量为: B项是总体方差已知,关于总体均值的检验;C项是总体方差未知,关于总体均值的检验;D项是总体均值未知,关于总体均值的检验。

相关内容:业人员,资料,男性,女性,人数,录用率

猜你喜欢

发表评论
更多 网友评论0 条评论)
暂无评论

访问排行

Copyright © 2012-2014 恰考网 Inc. 保留所有权利。 Powered by tikuer.com

页面耗时0.0352秒, 内存占用1.05 MB, Cache:redis,访问数据库20次