某地区用随机抽样方法调查了400户居民家庭存款状况,经整理得到下表资料 请根据上述资料,从备选答案中选出正确答案。 根据样本数据计算平均每户存款=...

作者: tihaiku 人气: - 评论: 0
问题 某地区用随机抽样方法调查了400户居民家庭存款状况,经整理得到下表资料 请根据上述资料,从备选答案中选出正确答案。 根据样本数据计算平均每户存款=28.12万元,S=23.08万元。试以95.4%(t=2)的置信度估计该地区平均每户存款的置信区间为()。
选项 A. [25.82万元,30.44万元] B. [26.97万元,29.28万元] C. [20.22万元,34.20万元] D. [5.05万元,51.21万元]
答案 A
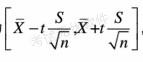
解析 由于n=400为大样本,总体方差未知,因此可用样本方差代替总体方差,故平均每户存款的置信区间为 ,代入数值即得[25.82万元,30.44万元]。

相关内容:地区,抽样,方法,调查,400户,居民,家庭,存款,状况,资料,根据,备选,答案,选出,样本,数据

猜你喜欢

发表评论
更多 网友评论0 条评论)
暂无评论

访问排行

Copyright © 2012-2014 恰考网 Inc. 保留所有权利。 Powered by tikuer.com

页面耗时0.0303秒, 内存占用1.04 MB, Cache:redis,访问数据库18次