小区的写字楼月租金的标准差为160元,要估计总体均值95%的置信区间,希望的允许误差为19. 6元,应抽取的样本量为()。A. 90 B. 256 C...

作者: tihaiku 人气: - 评论: 0
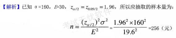
问题 小区的写字楼月租金的标准差为160元,要估计总体均值95%的置信区间,希望的允许误差为19. 6元,应抽取的样本量为()。
选项 A. 90 B. 256 C. 120 D. 150
答案 B
解析

相关内容:小区,写字楼,月租金,160元,总体,均值,区间,希望,误差,应抽,样本量

猜你喜欢

发表评论
更多 网友评论0 条评论)
暂无评论

访问排行

Copyright © 2012-2014 恰考网 Inc. 保留所有权利。 Powered by tikuer.com

页面耗时0.0328秒, 内存占用1.04 MB, Cache:redis,访问数据库19次