某地区用随机抽样方法调查了400户居民家庭存款状况,经整理得到下表资料 请根据上述资料,从备选答案中选出正确答案。 如果置信度不变,要求估计的误差...

作者: tihaiku 人气: - 评论: 0
问题 某地区用随机抽样方法调查了400户居民家庭存款状况,经整理得到下表资料 请根据上述资料,从备选答案中选出正确答案。 如果置信度不变,要求估计的误差范围不超过2万元,则至少应抽取的样本单位数是()。
选项 A. 1000 B. 1066 C. 400 D. 533
答案 D
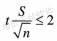
解析 要求估计的误差范围不超过2万元,即该地区平均每户存款的置信区间宽度的半径不超过2,得,解得n≥533。

相关内容:地区,抽样,方法,调查,400户,居民,家庭,存款,状况,资料,根据,备选,答案,选出,要求,误差

猜你喜欢

发表评论
更多 网友评论0 条评论)
暂无评论

访问排行

Copyright © 2012-2014 恰考网 Inc. 保留所有权利。 Powered by tikuer.com

页面耗时0.0338秒, 内存占用1.04 MB, Cache:redis,访问数据库20次