某居民区共有30000户,2013年初用简单随机抽样抽选了900户进行调查。根据样本数据计算得2012年平均每户年用水量 试以95%的置信水平估计该居民...

作者: tihaiku 人气: - 评论: 0
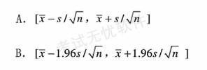
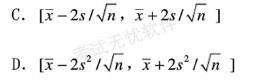
问题 某居民区共有30000户,2013年初用简单随机抽样抽选了900户进行调查。根据样本数据计算得2012年平均每户年用水量 试以95%的置信水平估计该居民区平均每户年用水量的置信区间为( )。
选项
答案 B
解析

相关内容:居民区,共有,30000户,抽样,抽选,900户,调查,根据,样本,数据,用水量,水平,居民

猜你喜欢

发表评论
更多 网友评论0 条评论)
暂无评论

访问排行

Copyright © 2012-2014 恰考网 Inc. 保留所有权利。 Powered by tikuer.com

页面耗时0.0363秒, 内存占用1.04 MB, Cache:redis,访问数据库18次