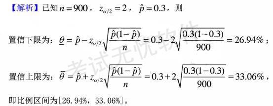
某居民区共有30000户,2013年初用简单随机抽样抽选了900户进行调查。根据样本数据计算得2012年平均每户年用水量 样本中有30%为三代人户,...

作者: tihaiku 人气: - 评论: 0
问题 某居民区共有30000户,2013年初用简单随机抽样抽选了900户进行调查。根据样本数据计算得2012年平均每户年用水量 样本中有30%为三代人户,以95.45% (Za/2 =2)的置信水平估计这个居民区中三代人户的比例区间为()。
选项 A. [26.94%, 33.06%] B. [26.72%, 33.21%] C. [28.40%, 31.60%] D. [26.43%, 32.57%]
答案 A
解析

猜你喜欢

发表评论
更多 网友评论0 条评论)
暂无评论

访问排行

Copyright © 2012-2014 恰考网 Inc. 保留所有权利。 Powered by tikuer.com

页面耗时0.0343秒, 内存占用1.04 MB, Cache:redis,访问数据库19次