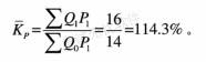
Q为销售量,P为价格,当∑Q0P0=12万元,∑Q1P1=16万元,∑Q1P0=13万元,∑Q0P1=14万元时,派氏物量指数应该是()。A. 108.3...

作者: tihaiku 人气: - 评论: 0
问题 Q为销售量,P为价格,当∑Q0P0=12万元,∑Q1P1=16万元,∑Q1P0=13万元,∑Q0P1=14万元时,派氏物量指数应该是()。
选项 A. 108.3% B. 114.3% C. 133.3% D. 123.1%
答案 B
解析 派氏指数是德国经济学家Paasche于1874年首创的,他主张不论是物价指数还是物量指数都采用报告期作为权数的指数,其物量指数的编制方法为:

相关内容:销售量,价格,12万元,16万元,13万元,14万元,派氏,物量,指数,108.3...

猜你喜欢

发表评论
更多 网友评论0 条评论)
暂无评论

访问排行

Copyright © 2012-2014 恰考网 Inc. 保留所有权利。 Powered by tikuer.com

页面耗时0.0306秒, 内存占用1.03 MB, Cache:redis,访问数据库13次