某地区用随机抽样方法调查了400户居民家庭存款状况,经整理得到下表资料 请根据上述资料,从备选答案中选出正确答案。 样本中存款在50万元及以上的户...

作者: tihaiku 人气: - 评论: 0
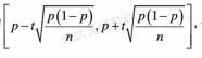
问题 某地区用随机抽样方法调查了400户居民家庭存款状况,经整理得到下表资料 请根据上述资料,从备选答案中选出正确答案。 样本中存款在50万元及以上的户数占16. 25%,以95.24%(t=2)的置信度估计该区中存款在50万元及以上的户数比例区间为()。
选项 A. [16.23%,16.27%] B. [12.56%,19.94%] C. [16.19%,16.31%] D. [16.11%,16.39%]
答案 B
解析 存款在50万元及以上的户数比例区间为,代入数值即为答案B。

相关内容:地区,抽样,方法,调查,400户,居民,家庭,存款,状况,资料,根据,备选,答案,选出,样本,50万元

猜你喜欢

发表评论
更多 网友评论0 条评论)
暂无评论

访问排行

Copyright © 2012-2014 恰考网 Inc. 保留所有权利。 Powered by tikuer.com

页面耗时0.0328秒, 内存占用1.04 MB, Cache:redis,访问数据库19次