某公司于2017年5月1日发行一面值为1000元的债券,票面利率为8%,2022年4月30日到期。甲投资者拟于2020年4月1日购买该债券。要求:(1...

作者: rantiku 人气: - 评论: 0
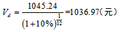
问题 某公司于2017年5月1日发行一面值为1000元的债券,票面利率为8%,2022年4月30日到期。甲投资者拟于2020年4月1日购买该债券。 要求:(1)如果该债券每年5月1日支付一次利息,假设年折现率为10%。计算2020年4月1日的债券价值。 要求:(2)如果该债券每年5月1日和11月1日支付两次利息,假设年折现率为10.25%。计算2020年4月1日的债券价值。
选项
答案
解析 1.  2020年4月1日价值是: 2.半年期折现率=(1+10.25%)^(1/2)-1=5%   2020年5月1日价值是:   40+40×(P/A,5%,4)+1000×(P/F,5%,4)=1004.54(万元)   2020年4月1日价值是:

猜你喜欢

发表评论
更多 网友评论0 条评论)
暂无评论

访问排行

Copyright © 2012-2014 恰考网 Inc. 保留所有权利。 Powered by tikuer.com

页面耗时0.0368秒, 内存占用1.03 MB, Cache:redis,访问数据库19次