结合实例,说明物理规律的三种表达方式。

作者: rantiku 人气: - 评论: 0
问题 结合实例,说明物理规律的三种表达方式。
选项
答案
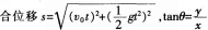
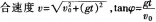
解析 物理规律的描述往往有三种基本形式.即文字叙述、数学公式和函数图象。以平抛运动举例: (1)文字叙述:将物体以一定的初速度沿水平方向抛出,不考虑空气阻力,物体只在重力作用下所做的运动.叫做平抛运动。平抛运动可看作两个分运动的合运动:一个是水平方向(垂直于恒力方向)的匀速直线运动,一个是竖直方向(沿着恒力方向)的匀加速直线运动。 (2)数学公式: ①速度规律 分速度vx=v0,vy=gt 妒为合速度v与x轴夹角,如下图所示。②位移规律 分位移x=v0t,y=1/2gt2 0为合位移与x轴夹角,如下图所示。(3)函数图象:

猜你喜欢

发表评论
更多 网友评论0 条评论)
暂无评论

访问排行

Copyright © 2012-2014 恰考网 Inc. 保留所有权利。 Powered by tikuer.com

页面耗时0.0397秒, 内存占用1.03 MB, Cache:redis,访问数据库19次