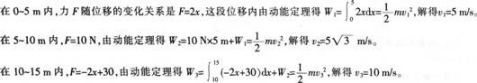
质量为2k9的物体,在沿x方向的变力作用下,在x=0处由静止开始运动。设变力与x的关系如图所示。试由动能定理求物体在x=5,10,15m处的速率。

作者: tihaiku 人气: - 评论: 0
问题 质量为2k9的物体,在沿x方向的变力作用下,在x=0处由静止开始运动。设变力与x的关系如图所示。试由动能定理求物体在x=5,10,15m处的速率。
选项
答案
解析

相关内容:质量,物体,在沿,方向,变力,作用,静止,运动,关系,如图,动能,定理,速率

猜你喜欢

发表评论
更多 网友评论0 条评论)
暂无评论

访问排行

Copyright © 2012-2014 恰考网 Inc. 保留所有权利。 Powered by tikuer.com

页面耗时0.0357秒, 内存占用1.05 MB, Cache:redis,访问数据库20次