一物体静止在粗糙水平地面上,现用一大小为Fl的水平拉力拉动物体,经过一段时间后其速度变为v.若将水平拉力的大小改为F2,物体从静止开始经过同样的时间后速度...

作者: tihaiku 人气: - 评论: 0
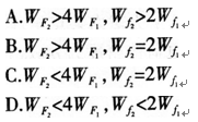
问题 一物体静止在粗糙水平地面上,现用一大小为Fl的水平拉力拉动物体,经过一段时间后其速度变为v.若将水平拉力的大小改为F2,物体从静止开始经过同样的时间后速度变为2v,对于上述两个过程,用WF1、WF2分别表示拉力F1、F2所做的功,W、W分别表示前后两次克服摩擦力所做的功,则( )。
选项
答案 C
解析 前后两次物体均做匀加速运动,末速度之比为l:2,由于时间相等,则由V=at可知两次运动的加速度之比为l:2,则两次合力之比为1:2,两次的平均速度分别为v/2、v两次的位移

相关内容:物体,静止,平地,面上,现用,大小,水平,拉力,速度,时间

猜你喜欢

发表评论
更多 网友评论0 条评论)
暂无评论

访问排行

Copyright © 2012-2014 恰考网 Inc. 保留所有权利。 Powered by tikuer.com

页面耗时0.0525秒, 内存占用1.04 MB, Cache:redis,访问数据库18次