下面是一道作业题及某同学的解答。 题目:如图所示为小球平抛运动的频闪照片,闪光频率为f=20 Hz,求实验频闪照片背景上每小方格边长L以及小球平抛的初速...

作者: tihaiku 人气: - 评论: 0
问题 下面是一道作业题及某同学的解答。 题目:如图所示为小球平抛运动的频闪照片,闪光频率为f=20 Hz,求实验频闪照片背景上每小方格边长L以及小球平抛的初速度口。和小球在c点的瞬时速度大小v。。(g=lO m/s2) 问题:(1)指出错误,分析错误的原因,给出正解;(10分) (2)给出教学思路,帮助学生掌握相关知识。(10分)
选项
答案
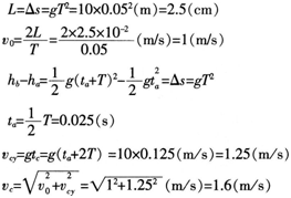
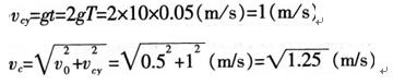
解析 (1)错误在于认为平抛运动频闪照片的a点即为竖直方向初速度为0的点,而a点不一定为开始运动的点.这样求出的小方格的边长、小球的初速度错误。错误原因可能是学生对平抛运动频闪照片的物理意义没有搞明白,只是死记平抛运动 的公式。正确的解法如下: (2)这类问题应该让学生结合实验认识频闪照片的物理意义,竖直方向上为初速度为0的匀加速直线运动,给出的频闪照片上的第一个点并不一定是初速度为0的点,而可能是中间截取的一部分。在求c点竖直方向上的分速度时可以让学生事先复习一下匀加速直线运动的规律。

相关内容:下面,一道,作业,某同,解答,题目,如图,小球,平抛,运动,频闪,照片,闪光,频率,实验,背景,每小,方格,边长,初速

猜你喜欢

发表评论
更多 网友评论0 条评论)
暂无评论

访问排行

Copyright © 2012-2014 恰考网 Inc. 保留所有权利。 Powered by tikuer.com

页面耗时0.0330秒, 内存占用1.05 MB, Cache:redis,访问数据库18次