如图,两个质量均为m的小木块a和b(可视为质点)放在水平圆盘上,a与转轴O0’的距离为2,b与转轴的距离为22,木块与圆盘的最大静摩擦力为木块所受重力的k...

作者: tihaiku 人气: - 评论: 0
问题 如图,两个质量均为m的小木块a和b(可视为质点)放在水平圆盘上,a与转轴O0’的距离为2,b与转轴的距离为22,木块与圆盘的最大静摩擦力为木块所受重力的k倍.重力加速度大小为g,若圆盘从静止开始绕转轴缓慢地加速运动,用w表示圆盘转动的角速度,下列说法正确的是( )。
选项 A.a一定比b先开始滑动 B.a、b所受的摩擦力始终相等
答案 C
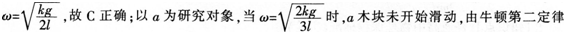
解析 两个木块的最大静摩擦力相等,木块随圆盘一起转动,静摩擦力提供向心力.由牛顿第二定律得:木块所受的静摩擦力为fmw2r,m、w相等,f0Cr,所以b所受的静摩擦力大于口的静摩擦力,当圆盘的角速度增大时b的静摩擦力先达到最大值,又因为a、b木块的最大静摩擦力相等,所以b一定比a先开始滑动,故A、B错误:当b刚要滑动时.有kmg=mw2.2l,解 得f=mw2l,可解得f=2/3kmg,故D错误。

相关内容:如图,两个,质量,木块,质点,水平,圆盘,转轴,距离,重力

猜你喜欢

发表评论
更多 网友评论0 条评论)
暂无评论

访问排行

Copyright © 2012-2014 恰考网 Inc. 保留所有权利。 Powered by tikuer.com

页面耗时0.0635秒, 内存占用1.05 MB, Cache:redis,访问数据库16次