如图所示,A、B两物块的质量分别为2m和m,静止叠放在水平地面上。A、B间的动摩擦因数为μ,B与地面间的动摩擦因数为1/2μ,最大静摩擦力等于滑动摩擦力,...

作者: tihaiku 人气: - 评论: 0
问题 如图所示,A、B两物块的质量分别为2m和m,静止叠放在水平地面上。A、B间的动摩擦因数为μ,B与地面间的动摩擦因数为1/2μ,最大静摩擦力等于滑动摩擦力,重力加速度为g,现对A施加一水平拉力F,则下列说法不正确的是( )。
选项 A.当F<2μmg时,A、B都相对地面静止 B.当F=5/2μmg时,A的加速度为1/3μg C.当F>3μmg时.A相对8滑动 D.无论F为何值,B的加速度不会超过1/2μg
答案 A
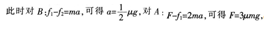
解析 逐渐增大至f2时,B与地面先发生相对滑动,A项错误;F继续增大,AB间摩擦力也逐渐增大,当AB间摩擦力增大至f1时,AB恰好发生相对滑 动, C项正确;F继续增大,B受到两个不变的滑动摩擦力,加速度始终为AB一起匀加速运动,对整体分析,可得加速度为1/3μg,B项正确。

相关内容:如图,两物块,质量,静止,平地,面上,摩擦,因数,地面,滑动,摩擦力

猜你喜欢

发表评论
更多 网友评论0 条评论)
暂无评论

访问排行

Copyright © 2012-2014 恰考网 Inc. 保留所有权利。 Powered by tikuer.com

页面耗时0.0518秒, 内存占用1.05 MB, Cache:redis,访问数据库19次