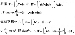
力F=6ti(SI)作用在m=3 kg的质点上。物体沿x轴运动,t=0时,Vo=0。求前2 s内F对m做的功。

作者: tihaiku 人气: - 评论: 0
问题 力F=6ti(SI)作用在m=3 kg的质点上。物体沿x轴运动,t=0时,Vo=0。求前2 s内F对m做的功。
选项
答案
解析

相关内容:物体,运动,求前

猜你喜欢

发表评论
更多 网友评论0 条评论)
暂无评论

访问排行

Copyright © 2012-2014 恰考网 Inc. 保留所有权利。 Powered by tikuer.com

页面耗时0.0399秒, 内存占用1.05 MB, Cache:redis,访问数据库20次