一质点沿半径R=1.6m的圆周运动,t=0时刻质点的位置为θ=0,质点的角速度w0=3.14s-1.若质点角加速度a=1.24t s-2。求:t=2.00...

作者: tihaiku 人气: - 评论: 0
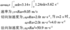
问题 一质点沿半径R=1.6m的圆周运动,t=0时刻质点的位置为θ=0,质点的角速度w0=3.14s-1.若质点角加速度a=1.24t s-2。求:t=2.00 s时质点的速率、切向加速度和法向加速度。
选项
答案
解析 角速度;切向加速度;法向加速度。根据角速度公式,质点在t=2s时的角速度为:

相关内容:质点,半径,时刻,位置,角速度,3.14s-1.,角加速度,2.00...

猜你喜欢

发表评论
更多 网友评论0 条评论)
暂无评论

访问排行

Copyright © 2012-2014 恰考网 Inc. 保留所有权利。 Powered by tikuer.com

页面耗时0.0370秒, 内存占用1.04 MB, Cache:redis,访问数据库17次