假设地球是一半径为R、质量分布均匀的球体。一矿井深度为d。已知质量分布均匀的球壳对壳内物体的引力为零。矿井底部和地面处的重力加速度大小之比为(  )。

作者: tihaiku 人气: - 评论: 0
问题 假设地球是一半径为R、质量分布均匀的球体。一矿井深度为d。已知质量分布均匀的球壳对壳内物体的引力为零。矿井底部和地面处的重力加速度大小之比为(  )。
选项
答案 A
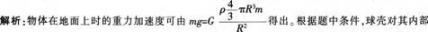
解析

相关内容:假设,地球,半径,质量,球体,矿井,深度,球壳,壳内,物体,引力,地面,重力加速度,大小

猜你喜欢

发表评论
更多 网友评论0 条评论)
暂无评论

访问排行

Copyright © 2012-2014 恰考网 Inc. 保留所有权利。 Powered by tikuer.com

页面耗时0.0529秒, 内存占用1.05 MB, Cache:redis,访问数据库20次