某部队在山顶上进行炮弹射击训练,如图所示,炮台距地面高度AO为h,炮弹射击方向与水平面成45°。水平地面上有一目标区域,它的左端距0点的距离BO为s1,右...

作者: tihaiku 人气: - 评论: 0
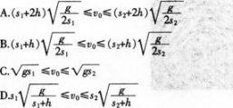
问题 某部队在山顶上进行炮弹射击训练,如图所示,炮台距地面高度AO为h,炮弹射击方向与水平面成45°。水平地面上有一目标区域,它的左端距0点的距离BO为s1,右端距0点的距离C0为s2。为了保证炮弹击中目标区域,炮弹初速度υo。应满足什么条件 (  )
选项
答案 D
解析 炮弹在水平方向上做匀速直线运动,在竖直方向上做匀变速直线运动。设炮弹落在目标

相关内容:部队,炮弹,如图,炮台,地面,高度,射击,方向,水平面,水平,目标,区域,距离

猜你喜欢

发表评论
更多 网友评论0 条评论)
暂无评论

访问排行

Copyright © 2012-2014 恰考网 Inc. 保留所有权利。 Powered by tikuer.com

页面耗时0.0589秒, 内存占用1.05 MB, Cache:redis,访问数据库19次