阅读案例,并回答问题。 某教师为了检测学生对匀变速直线运动知识的掌握情况,布置了若干练习题。下面是某同学对其中一题的解答过程: 题目:一辆正在匀加...

作者: tihaiku 人气: - 评论: 0
问题 阅读案例,并回答问题。 某教师为了检测学生对匀变速直线运动知识的掌握情况,布置了若干练习题。下面是某同学对其中一题的解答过程: 题目:一辆正在匀加速行驶的汽车,经过路旁两个相距50m的电线杆,用了5s。它经过第2根电线杆的速度是15m/s。求汽车行驶的加速度。 解:在经过电线杆的过程中,汽车的平均速度为υ. 问题:(1)指出学生解答中的错误,分析错误产生的可能原因,给出正确解法。 (2)给出一个教学思路,帮助学生掌握相关知识。
选项
答案
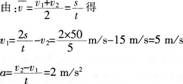
解析 (1)错误之处:该学生在求解过程中,得出平均速度后,直接将平均速度和末速度代入公式求解出加速度值。根本原因是没有区分平均速度、初速度、末速度的实际物理意义,而机械地去套用公式。 正确解法:设经第一根电线杆的速度为υ1, (2)针对学生的错误,教师可以设计一系列启发性质的问题,引导学生正确理解初速度、末速度、平均速度、加速度、位移之间的关系,打破惯性思维,杜绝不理解题意而乱套公式的情况。教师可以使用复述策,用多种形式呈现对相关概念及其计算公式。针对此题,教师可以这样提问: ①在匀加速直线运动中,如果已知初速度、末速度和时间,怎么求加速度呢 ②在匀加速直线运动中,如果已知运动时间和位移,初速度和末速度有什么样的关系 ③在这道题目中出现的物理量,分别有哪些 经过这几个问题的思考,一方面可以帮助学生复习相关公式.也可以使学生意识到在解答物理习题中,正确理解物理量的实际意义的重要性,杜绝乱套公式的行为。

相关内容:案例,问题,教师,检测,学生,直线,运动,知识,情况,练习题,下面,同学,解答,过程,题目,正在,匀加

猜你喜欢

发表评论
更多 网友评论0 条评论)
暂无评论

访问排行

Copyright © 2012-2014 恰考网 Inc. 保留所有权利。 Powered by tikuer.com

页面耗时0.0520秒, 内存占用1.05 MB, Cache:redis,访问数据库19次