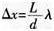
在双缝干涉实验中,某同学用黄光作为入射光,为了增大干涉条纹的间距,该同学可以采用的方法有(  ):A.改用红光作为入射光,增大双缝到屏的距离 B.改用蓝...

作者: tihaiku 人气: - 评论: 0
问题 在双缝干涉实验中,某同学用黄光作为入射光,为了增大干涉条纹的间距,该同学可以采用的方法有(  ):
选项 A.改用红光作为入射光,增大双缝到屏的距离 B.改用蓝光作为入射光,增大双缝到屏的距离 C.改用红光作为入射光,减小双缝到屏的距离 D.改用蓝光作为入射光,减小双缝到屏的距离
答案 A
解析 根据 红光比黄光波长大,增大双缝到屏的距离即增大L,均可使干涉条纹的间距增大。

相关内容:双缝,某同,黄光,条纹,间距,同学,方法,红光,距离

猜你喜欢

发表评论
更多 网友评论0 条评论)
暂无评论

访问排行

Copyright © 2012-2014 恰考网 Inc. 保留所有权利。 Powered by tikuer.com

页面耗时0.0561秒, 内存占用1.05 MB, Cache:redis,访问数据库20次