两根相距为l的平行直导轨ab、cd,bd间连有一固定电阻R,导轨电阻可忽略不计,MN为放在导轨ab和cb上的一长度也为l的导体杆,与ab垂直,其电阻为1/...

作者: tihaiku 人气: - 评论: 0
问题 两根相距为l的平行直导轨ab、cd,bd间连有一固定电阻R,导轨电阻可忽略不计,MN为放在导轨ab和cb上的一长度也为l的导体杆,与ab垂直,其电阻为1/2R,整个装置处于匀强磁场中,磁感应强度的大小为B,方向垂直于导轨所在平面(指向图中纸面内)。现使MN沿导轨方向以速度v向右匀速运动,用U表示MN两端电压.则()。
选项 A.U=1/3Blv。流过固定电阻R的感应电流由b到d B.U=1/3Blv。流过固定电阻R的感应电流由d到b C.U=2/3Blv。流过固定电阻R的感应电流由b到d D.U=2/3Blv。流过固定电阻R的感应电流由d到b
答案 C
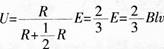
解析 当MN运动时,相当于电源,其两端的电压是外电路的电压即路端电压,MN运动产生的感应电动势为E=Blv则路端电压;由右手定则可知电流方向由N到M,则流过电阻的电流方向由b到d,C项正确。

相关内容:平行,导轨,电阻,长度,导体

猜你喜欢

发表评论
更多 网友评论0 条评论)
暂无评论

访问排行

Copyright © 2012-2014 恰考网 Inc. 保留所有权利。 Powered by tikuer.com

页面耗时0.0405秒, 内存占用1.05 MB, Cache:redis,访问数据库19次