一物体以6m/s的速度沿一光滑倾斜木板从底端向上滑行,经过2S后物体已向下滑行,速度大小为1m/s,若选择沿木板向上为正方向,用a表示加速度,用v表示2s...

作者: tihaiku 人气: - 评论: 0
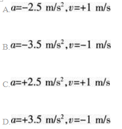
问题 一物体以6m/s的速度沿一光滑倾斜木板从底端向上滑行,经过2S后物体已向下滑行,速度大小为1m/s,若选择沿木板向上为正方向,用a表示加速度,用v表示2s末的速度,以下表示正确的是()。
选项
答案 B
解析 因选择沿木板向上为正方向,则2s末的速度为-1m/s;根据v=v0+at,即-1=6+a×2解得a=-3.5m/s2

相关内容:物体,速度,倾斜,木板,滑行,大小,方向,加速度

猜你喜欢

发表评论
更多 网友评论0 条评论)
暂无评论

访问排行

Copyright © 2012-2014 恰考网 Inc. 保留所有权利。 Powered by tikuer.com

页面耗时0.0443秒, 内存占用1.05 MB, Cache:redis,访问数据库20次