已知一质量为m的质点在x轴上运动,质点只受到指向原点的引力的作用,引力大小与质点离原点的距离x的平方成反比,即f=k/x2后是比例常数。设质点在x=A时的...

作者: tihaiku 人气: - 评论: 0
问题 已知一质量为m的质点在x轴上运动,质点只受到指向原点的引力的作用,引力大小与质点离原点的距离x的平方成反比,即f=k/x2后是比例常数。设质点在x=A时的速度为零,求x=A/4处的速度的大小。
选项
答案
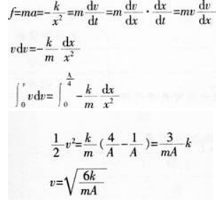
解析 根据牛顿第二定律:

相关内容:质量,运动,质点,指向,原点,引力,作用,大小,距离,平方,比例,常数,时的

猜你喜欢

发表评论
更多 网友评论0 条评论)
暂无评论

访问排行

Copyright © 2012-2014 恰考网 Inc. 保留所有权利。 Powered by tikuer.com

页面耗时0.0437秒, 内存占用1.04 MB, Cache:redis,访问数据库20次