下面为一道物理试题和某学生的解答过程。 题目:如图所示,质量为m、电量为q的带正电物体位于水平有界的匀强电场中,从半径为r的1/4光滑圆弧顶端由静止开始...

作者: tihaiku 人气: - 评论: 0
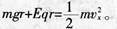
问题 下面为一道物理试题和某学生的解答过程。 题目:如图所示,质量为m、电量为q的带正电物体位于水平有界的匀强电场中,从半径为r的1/4光滑圆弧顶端由静止开始滑下,滑到圆弧底端恰好脱离电场水平飞出。竖直下落距离h时,垂直击中倾角为300的斜面,求电场强度E的大小。 问题: (1)指出此题检测了学生所学的哪些知识点?(4分) (2)给出正确的解题过程。(6分) (3)针对学生解题过程中存在的问题,设计一个教学片段,帮助学生解决此类问题。(10分)
选项
答案
解析 (1)本题考查受力分析、圆周运动、平抛运动、动能定理等知识点。 (2)正确解题过程: 在光滑圆弧轨道上运动的过程中,支持力始终与速度方向垂直,因此,支持力不做功,只有电场力和重力做功,根据动能定理,有 水平飞出电场后,物体只受重力作用,做平抛运动,有 垂直击中倾角为300的斜面 (3)教学片段: 师:同学们,我们先来分析物体的运动情况,在脱离电场前后,物体分别做什么运动? 生:脱离电场前物体傲圆周远动,脱离电场后物体做平抛远动一 师:对,非常好。那么物体做圆周运动时,对物体进行受力分析,物体受到什么力?其中做功的力有哪些? 生:物体做圆周运动时,物体受到重力、电场力和支持力的作用。其中只有重力和电场力做功。 师:支持力为什么不傲功呢? 生:支持力与速度方向始终垂直,所以不傲功。 师:嗯,很对。只有重力和电场力做功我们可以应用什么公式求解飞出电场的速度呢? 生:动能定理。 师:好。接下来我们分析第二段运动过程。首先物体垂直击中倾角为300的斜面,怎么理解? 生:物体的速度方向垂直于斜面或者说位移方向垂直于斜面。 师:物体的速度方向垂直于斜面非常准确,但位移方向也垂直于斜面吗?大家回想一下,我们讲平抛运动时说速度方向的反向延长线与水平位移的交点与水平位移是什么点? 生:交点为水平位移的中点,速度方向与位移方向不一致。题中所说的应该是速度方向。 师:非常好。大家一定要看清楚题于的描述,仔细分辨平抛运动位移方向与速度方向。还有什么问题吗? 生:没有了。

相关内容:一道,物理,试题,某学,解答,过程,题目,如图,质量,电量,正电,物体,水平,匀强,电场,半径,圆弧,端由,静止

猜你喜欢

发表评论
更多 网友评论0 条评论)
暂无评论

访问排行

Copyright © 2012-2014 恰考网 Inc. 保留所有权利。 Powered by tikuer.com

页面耗时0.0763秒, 内存占用1.05 MB, Cache:redis,访问数据库18次