如图4所示,粗细均匀的玻璃细管上端封闭,下端开口,竖直插在大而深的水银槽中.管内封闭有一定质量的空气(可视为理想气体),玻璃细管足够长,管内气柱长4.0 ...

作者: tihaiku 人气: - 评论: 0
问题 如图4所示,粗细均匀的玻璃细管上端封闭,下端开口,竖直插在大而深的水银槽中.管内封闭有一定质量的空气(可视为理想气体),玻璃细管足够长,管内气柱长4.0 cm.管内外水银面高度差为l0.0 cm,大气压强为76 cmHg。现将玻璃管沿竖直方向缓慢移动,当管内外水银面恰好相平时,管内气柱的长度约为( )。
选项 A.2.0 am B.3.5 am C.4.0 cm D.4.5 cm
答案 B
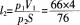
解析 设玻璃管的横截面为S,玻璃管向上移动为等温变化,初态:p1=66 cmHg,V1=4S,末态:p2=76 cmHg,V2=l2S,由玻意耳定律:p1V1=p2V2,得 cm≈3.5 cm。故选B。

相关内容:如图,4所示,粗细,玻璃,上端,水银,管内,质量,空气,理想,气体,气柱

猜你喜欢

发表评论
更多 网友评论0 条评论)
暂无评论

访问排行

Copyright © 2012-2014 恰考网 Inc. 保留所有权利。 Powered by tikuer.com

页面耗时0.0358秒, 内存占用1.04 MB, Cache:redis,访问数据库18次