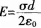
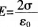
已知厚度为d的无限大带电导体平板,两表面上电荷均匀分布,电荷面密度均为σ,如图所示,则板外两侧的电场强度的大小为()。 A. B. ...

作者: tihaiku 人气: - 评论: 0
问题 已知厚度为d的无限大带电导体平板,两表面上电荷均匀分布,电荷面密度均为σ,如图所示,则板外两侧的电场强度的大小为()。 A. B. C. D.
选项
答案 C
解析 在导体平板两表面外侧取两对称平面,做侧面垂直平板的高斯面,根据高斯定理,考虑到两对称平面电场强度相等.且高斯面内电荷为2σS,可得E=σ/ε0

相关内容:厚度,无限大,导体,平板,电荷,密度,如图,板外,两侧,电场,强度,大小

猜你喜欢

发表评论
更多 网友评论0 条评论)
暂无评论

访问排行

Copyright © 2012-2014 恰考网 Inc. 保留所有权利。 Powered by tikuer.com

页面耗时0.0277秒, 内存占用1.04 MB, Cache:redis,访问数据库18次