为保持水土、美化环境,H市准备在建设大道两侧栽一些樟树,要求路两侧树的棵数和间距均相等,且首、尾两端均栽上树。现在园林局已备好一批树苗,若每间隔3米栽一棵...

作者: rantiku 人气: - 评论: 0
问题 为保持水土、美化环境,H市准备在建设大道两侧栽一些樟树,要求路两侧树的棵数和间距均相等,且首、尾两端均栽上树。现在园林局已备好一批树苗,若每间隔3米栽一棵,则缺少18棵;若每间隔3. 5米栽一棵,则缺少10棵。则要想使备用的树苗刚好够用,应该每间隔( )米栽一棵树。 A. 4. 4 B. 4.2 C. 4.5 D.4.7
选项
答案 A
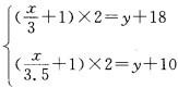
解析 设建设大道长度为x,树苗数量为y,则有 解得x=84,y=40。因此要想树苗刚好够用,间隔的距离应为84÷(40÷2-1)≈4.4(米)。

猜你喜欢

发表评论
更多 网友评论0 条评论)
暂无评论

访问排行

Copyright © 2012-2014 恰考网 Inc. 保留所有权利。 Powered by tikuer.com

页面耗时0.0474秒, 内存占用1.03 MB, Cache:redis,访问数据库14次