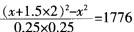
有一个正方形花池,周围用尺寸25厘米的方砖铺了一条宽1.5米的小路,共用方砖1776 块,花池的面积是多少平方米?A.111 B.289 C.400 ...

作者: rantiku 人气: - 评论: 0
问题 有一个正方形花池,周围用尺寸25厘米的方砖铺了一条宽1.5米的小路,共用方砖1776 块,花池的面积是多少平方米? A.111 B.289 C.400 D.104
选项
答案 B
解析 设花池边长x米,则,x=17米。则花池面积为17x17=289平方米。

猜你喜欢

发表评论
更多 网友评论0 条评论)
暂无评论

访问排行

Copyright © 2012-2014 恰考网 Inc. 保留所有权利。 Powered by tikuer.com

页面耗时0.0485秒, 内存占用1.03 MB, Cache:redis,访问数据库13次