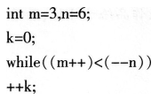
执行下列语句序列后,k的值是(  )。 A.0 B.1 C.2 D.3

作者: tihaiku 人气: - 评论: 0
问题 执行下列语句序列后,k的值是(  )。
选项 A.0 B.1 C.2 D.3
答案 B
解析 只执行一次while循环,k只加了一次,故答案为B。

相关内容:语句,序列

猜你喜欢

发表评论
更多 网友评论0 条评论)
暂无评论

Copyright © 2012-2014 恰考网 Inc. 保留所有权利。 Powered by tikuer.com

页面耗时0.0450秒, 内存占用1.04 MB, Cache:redis,访问数据库19次