—支队伍队长480米,以80米/分钟的速度匀速前进,现在位于队尾的通讯员要去队首传达加速前进的指令,指令传达完毕队伍立即以200米/分钟的速度行进,与此同...

作者: tihaiku 人气: - 评论: 0
问题 —支队伍队长480米,以80米/分钟的速度匀速前进,现在位于队尾的通讯员要去队首传达加速前进的指令,指令传达完毕队伍立即以200米/分钟的速度行进,与此同时通讯员跑向队尾。通讯员从队尾出发到回到队尾的整个过程中,队伍总共前进了560米,通讯员速度始终不变。问通讯员速度是多少米/分钟?( )
选项 A.150 B.200 C.250 D.300
答案 B
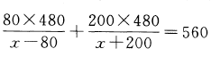
解析 设通讯员速度为x米/分钟,通讯员从队尾到队首所用时间为,队伍前进距离;通讯员从队首到队尾所用时,队伍前进距;整个过程队伍前进距离为,解得x=200。故选B。(解方程比较繁琐,可直接将选项代入方程验证)

相关内容:队伍,队长,480米,速度,队尾,通讯员,队首,指令,200米

猜你喜欢

发表评论
更多 网友评论0 条评论)
暂无评论

Copyright © 2012-2014 恰考网 Inc. 保留所有权利。 Powered by tikuer.com

页面耗时0.0447秒, 内存占用1.05 MB, Cache:redis,访问数据库18次