某人先后两次对一3米深的长方形蓄水池进行调整,先将长增加6米,则可增加蓄水162立方米,在此基础上又将宽减少4米,此时蓄水减少了240立方米,则长方形蓄水...

作者: tihaiku 人气: - 评论: 0
问题 某人先后两次对一3米深的长方形蓄水池进行调整,先将长增加6米,则可增加蓄水162立方米,在此基础上又将宽减少4米,此时蓄水减少了240立方米,则长方形蓄水池原来的蓄水量为多少立方米?( )
选项 A.326 B.378 C.402 D.458
答案 B
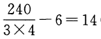
解析 第一次调整,由于宽、高不变,则增加蓄水量为宽、高和增加长度三者的乘积,可得蓄水池的宽为(米);第二次调整,由于长、高不变,故减少蓄水量为调整后长度、高和减少宽度三者的乘积,则原来长度为(米),则长方形蓄水池原来可蓄水14×9×3=378(立方米)。故本题选B。

相关内容:先后,长方形,蓄水池,调整,蓄水,162立方米,240立方米

猜你喜欢

发表评论
更多 网友评论0 条评论)
暂无评论
错误啦!

错误信息

  • 消息: [程序异常] : MISCONF Redis is configured to save RDB snapshots, but it's currently unable to persist to disk. Commands that may modify the data set are disabled, because this instance is configured to report errors during writes if RDB snapshotting fails (stop-writes-on-bgsave-error option). Please check the Redis logs for details about the RDB error.
  • 文件: /twcms/kongphp/cache/cache_redis.class.php
  • 位置: 第 85 行
    <?php echo 'KongPHP, Road to Jane.'; ?>