某单位原有几十名职员,其中有14名女性。当两名女职员调出该单位后,女职员的比重下降了3个百分点。现在该单位需要随机选派两名职员参加培训,问选派的两人都是女...

作者: tihaiku 人气: - 评论: 0
问题 某单位原有几十名职员,其中有14名女性。当两名女职员调出该单位后,女职员的比重下降了3个百分点。现在该单位需要随机选派两名职员参加培训,问选派的两人都是女职员的概率在以下哪个范围内( )
选项 A.小于1% B.1%~4% C.4%~7% D.7%~10%
答案 C
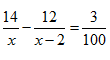
解析 设单位原有总人数为x,根据题目条件可得,而则有,3/100<2/X,解得,因为单位原有几十名员工,所以不妨对x进行取值验证。当x=60时,,不满足。当x=50时,,恰好满足。因此原有总人数为50人,则题目所求为,C项符合。

相关内容:单位,职员,女性,比重,百分点,需要,培训

猜你喜欢

发表评论
更多 网友评论0 条评论)
暂无评论

Copyright © 2012-2014 恰考网 Inc. 保留所有权利。 Powered by tikuer.com

页面耗时0.0634秒, 内存占用1.04 MB, Cache:redis,访问数据库18次