甲、乙两个文具店购进了相同数量的铅笔,甲打算卖5元2支,乙打算卖5元3支。为了统一售价,甲、乙两个文具店都按10元5支的价格把铅笔全部卖掉,总收入比预想的...

作者: tihaiku 人气: - 评论: 0
问题 甲、乙两个文具店购进了相同数量的铅笔,甲打算卖5元2支,乙打算卖5元3支。为了统一售价,甲、乙两个文具店都按10元5支的价格把铅笔全部卖掉,总收入比预想的少了10元。则甲、乙两个文具店共购进多少支铅笔?( )
选项 A.120 B.150 C.240 D.360
答案 A
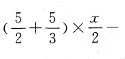
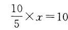
解析 设甲、乙两文具店共购进铅笔x支,根据题意列方程得:,解得x=120。故本题选A。

相关内容:两个,文具店,数量,铅笔,打算,统一,售价,价格,总收入

猜你喜欢

发表评论
更多 网友评论0 条评论)
暂无评论

Copyright © 2012-2014 恰考网 Inc. 保留所有权利。 Powered by tikuer.com

页面耗时0.0388秒, 内存占用1.05 MB, Cache:redis,访问数据库20次