2013年某市A区现有镇级单位10个,村民委员会124个,村民小组2325个。截止到2013年底,全区农村实用人才总数5198人,与去年的5236人相比基...

作者: tihaiku 人气: - 评论: 0
问题 2013年某市A区现有镇级单位10个,村民委员会124个,村民小组2325个。截止到2013年底,全区农村实用人才总数5198人,与去年的5236人相比基本保持平稳,同比减少0.7%,降幅缩小了2.3个百分点。在农村实用人才总量中,行政村拥有人才4870人,占总量的93.7% ;女性人才934人,占 比较上年提高3.7个百分点,达到18.0% ;中共党员占比继续下降1.8个百分点至28.1 %。五类人才中,社会服务型和生产型人才是本区农村实用人才的主体,共同占到了人才总数的六成以上。经营型和技能服务型人才其次,技能带动型人才最少(详见图)。随着农业生产规模化程度不断提高,生产型和技能服务型人才数量稳步提升;而技能带动性、经营性以及社会服务型人才存在小幅波动,人才结构正在不断优化。 2011-2013年度农村实用人才类型变化情况 能够从上述资料中推出的是( )。
选项 A.2013年平均每个村民委员会拥有农村实用人才45个 B.2012年男性人才人数为4302人 C.生产型和技能服务型人才数量逐年提升 D.近三年每年五类人才中技能服务型人才最少
答案 C
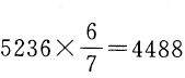
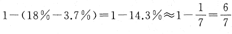
解析 从材料容易看出,2013年A区现有镇级单位10个,村民委员会124个,全区农村实用人才总数5198人,故所求(个),A项错误;由材料可得,2012年区农村实用人才总数5236人,而2013年女性人才934人,占比较上年提高3.7个百分点,达到18.0%。故2012年男性人才占比为。因此2012年男性人才人数约为(人),B项错误;由表格可看出从2011 — 2013年生产型和技能服务型人才数量逐年上升,C项正确;由表格容易得出每年人数最少的均是技能带动型,而非技能服务型,D项错误。故本题正确答案为C。

相关内容:2013年,现有镇,单位,村民委员会,124个,村民,小组,2325个,截止,2013年底,全区,农村,实用,人才,总数,5198人,人相,比基

猜你喜欢

发表评论
更多 网友评论0 条评论)
暂无评论

Copyright © 2012-2014 恰考网 Inc. 保留所有权利。 Powered by tikuer.com

页面耗时0.0361秒, 内存占用1.04 MB, Cache:redis,访问数据库13次