有两包糖果,每包中都有奶糖、水果糖和巧克力糖。 (1)第一包糖的粒数是第二包糖的2/3。 (2)第一包糖中奶糖占25%,第二包中水果糖占50%; (...

作者: tihaiku 人气: - 评论: 0
问题 有两包糖果,每包中都有奶糖、水果糖和巧克力糖。 (1)第一包糖的粒数是第二包糖的2/3。 (2)第一包糖中奶糖占25%,第二包中水果糖占50%; (3)巧克力糖在第一包糖中所占的百分比是在第二包糖中所占百分比的2倍。 当两包糖合在一起时,巧克力糖占28%,那么水果糖所占的百分比是多少?( ) A. 26% B. 31% C. 44% D. 50%
选项
答案 C
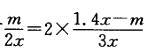
解析 根据条件(1),可设第二包糖的粒数为3x,则第一包糖的粒数为2x。根据条件(2),可知第一包糖中有奶糖25%X2x=0. 5x,第二包糖中有水果糖50%X3x=1. 5x。巧克力糖共有(2x+3x) X 28% = 1.4x,设第一包糖中有巧克力糖m粒,则有,解得m=0. 8x,故第一包糖中有水果糖2x-0. 5x-0.8x=0. 7x,水果糖的总比重为(0.7x+1. 5x) / (2x+3x)X100%=44%,答案为 C。

猜你喜欢

发表评论
更多 网友评论0 条评论)
暂无评论

Copyright © 2012-2014 恰考网 Inc. 保留所有权利。 Powered by tikuer.com

页面耗时0.0601秒, 内存占用1.02 MB, Cache:redis,访问数据库13次