如图所示,ΔABC是直角三角形,四边形和四边形HFGE都是正方形,已知AI=1cm,IB=4cm,问正方形HFGE的面积是多少?( )

作者: tihaiku 人气: - 评论: 0
问题 如图所示,ΔABC是直角三角形,四边形和四边形HFGE都是正方形,已知AI=1cm,IB=4cm,问正方形HFGE的面积是多少?( )
选项
答案 C
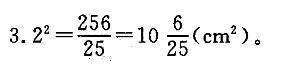
解析 根据题意,AB = 5cm,ID=BF=4cm,我们利用比例关系“AI : ID = AB : BC”可得 BC=20cm,那么FC=BC-BF=16(cm)。我们假设EG=FG=xcm,那么GC=16-x,再利用比例关系"AB : BC=EG : GC”,得到5 : 20 = x : (16-x),解得x=3. 2,那么正方形HFGE 的面积为x2=

相关内容:如图,直角三角形,四边形,正方形,面积

猜你喜欢

发表评论
更多 网友评论0 条评论)
暂无评论

Copyright © 2012-2014 恰考网 Inc. 保留所有权利。 Powered by tikuer.com

页面耗时0.0375秒, 内存占用1.04 MB, Cache:redis,访问数据库17次