蜘蛛有8只脚,蜻蜓有6只脚和2对翅膀,苍蝇有6只脚和1对翅膀。现有三种虫共18只,共有118只脚和20对翅膀,问蜻蜓比苍蝇多几只?( ) A. 7 B....

作者: tihaiku 人气: - 评论: 0
问题 蜘蛛有8只脚,蜻蜓有6只脚和2对翅膀,苍蝇有6只脚和1对翅膀。现有三种虫共18只,共有118只脚和20对翅膀,问蜻蜓比苍蝇多几只?( ) A. 7 B. 6 C. 2 D. 1
选项
答案 D
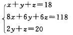
解析 设蜘蛛有x只,蜻蜓有y只,苍蝇有z只,由题意可得: 故x= 5,y = 7,z=6。所以蜻蜓比苍蝇多7 - 6 = 1 (只)。

相关内容:蜘蛛,8只脚,蜻蜓,翅膀,苍蝇,虫共,共有,118只

猜你喜欢

发表评论
更多 网友评论0 条评论)
暂无评论

Copyright © 2012-2014 恰考网 Inc. 保留所有权利。 Powered by tikuer.com

页面耗时0.0362秒, 内存占用1.05 MB, Cache:redis,访问数据库18次