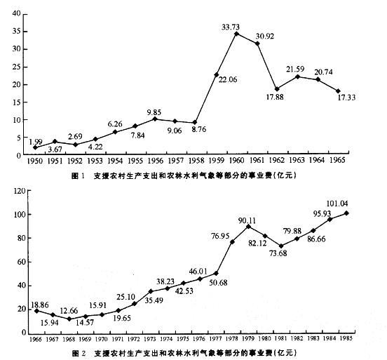
1965年支援农村生产支出和农林水利气象等部门的事业费是1950年的()。 A. 15. 8 倍 B. 8. 7 倍 C. 12. 5 ...

作者: tihaiku 人气: - 评论: 0
问题 1965年支援农村生产支出和农林水利气象等部门的事业费是1950年的()。 A. 15. 8 倍 B. 8. 7 倍 C. 12. 5 倍 D. 5. 6 倍
选项
答案 B
解析 由图可知1965年支援农村生产支出和农林水利气象等部门的事业费为17.33亿元, 1950 年的为1. 99 亿元,17. 33/1. 99≈8. 7,选 B 项。

相关内容:1965年,农村,生产,支出,水利,气象,部门,事业费,1950年

猜你喜欢

发表评论
更多 网友评论0 条评论)
暂无评论

Copyright © 2012-2014 恰考网 Inc. 保留所有权利。 Powered by tikuer.com

页面耗时0.0488秒, 内存占用1.04 MB, Cache:redis,访问数据库14次