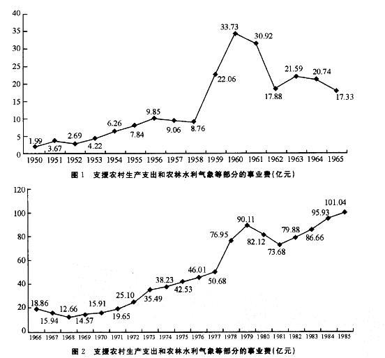
1959年与1958年比较,支援农村生产支出和农林水利气象等部门的事业费( )。 A.提高了151.8% B.提高了51. 8% C.提...

作者: tihaiku 人气: - 评论: 0
问题 1959年与1958年比较,支援农村生产支出和农林水利气象等部门的事业费( )。 A.提高了151.8% B.提高了51. 8% C.提髙了251. 8% D.提高了105%
选项
答案 A
解析 由图可知1959年的支援农村生产支出和农林水利气象等部门的事业费为22.06亿元,1958 年的为8.76 亿元,(22. 06-8.76)/8. 76X100%≈151. 8%,选A项。

相关内容:1959年,1958年,农村,生产,支出,水利,气象,部门,事业费,151.8%

猜你喜欢

发表评论
更多 网友评论0 条评论)
暂无评论

Copyright © 2012-2014 恰考网 Inc. 保留所有权利。 Powered by tikuer.com

页面耗时0.0462秒, 内存占用1.05 MB, Cache:redis,访问数据库18次