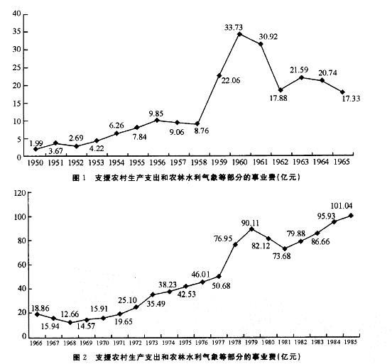
1967年与1966年比较,支援农村生产支出和农林水利气象等部门的事业费( )。 A.降低了115. 5% B.降低了55. 5% C....

作者: tihaiku 人气: - 评论: 0
问题 1967年与1966年比较,支援农村生产支出和农林水利气象等部门的事业费( )。 A.降低了115. 5% B.降低了55. 5% C.降低了15. 5% D.降低了105. 5%
选项
答案 C
解析 1967年的支援农村支出和农林水利气象等部门的事业费为15.94亿元,1966年的为18.86 亿元,(15. 94 -18. 86)/18. 86X100%≈-15. 4%,也就是下降了15. 4%,C 项最为接近。

相关内容:1967年,1966年,农村,生产,支出,水利,气象,部门,事业费

猜你喜欢

发表评论
更多 网友评论0 条评论)
暂无评论

Copyright © 2012-2014 恰考网 Inc. 保留所有权利。 Powered by tikuer.com

页面耗时0.0626秒, 内存占用1.03 MB, Cache:redis,访问数据库14次