2012年全国医疗卫生机构诊疗人次相比上年增长了( )。A. 9.9% B. 10. 8% C. 11.0% D. 11. 1%

作者: tihaiku 人气: - 评论: 0
问题 2012年全国医疗卫生机构诊疗人次相比上年增长了( )。
选项 A. 9.9% B. 10. 8% C. 11.0% D. 11. 1%
答案 A
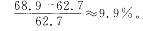
解析 根据表格中数据,2012年全国医疗卫生机构诊疗人次比2011年增长了因此,本题答案为A选项。

相关内容:年全国,医疗,卫生机构,诊疗

猜你喜欢

发表评论
更多 网友评论0 条评论)
暂无评论

Copyright © 2012-2014 恰考网 Inc. 保留所有权利。 Powered by tikuer.com

页面耗时0.0581秒, 内存占用1.03 MB, Cache:redis,访问数据库15次