小王、小李、小张、小夏、小陈、小汪等6名员工等待公司安排任务。他们被公司分成了3组,每组2个人。那么,其中小王和小李恰好能分在同一组的概率是( )。

作者: tihaiku 人气: - 评论: 0
问题 小王、小李、小张、小夏、小陈、小汪等6名员工等待公司安排任务。他们被公司分成了3组,每组2个人。那么,其中小王和小李恰好能分在同一组的概率是( )。
选项
答案 A
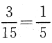
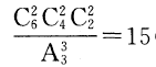
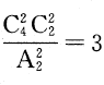
解析 小王和小李在一组的情况有(种),6名员工分成3组总共有(种)情况。所以,小王和小李分在一组的概率为。本题选择A项。

相关内容:小王,小李,小张,小夏,小陈,小汪,员工,公司,任务,2个人,概率

猜你喜欢

发表评论
更多 网友评论0 条评论)
暂无评论

访问排行

Copyright © 2012-2014 恰考网 Inc. 保留所有权利。 Powered by tikuer.com

页面耗时0.0330秒, 内存占用1.05 MB, Cache:redis,访问数据库19次